

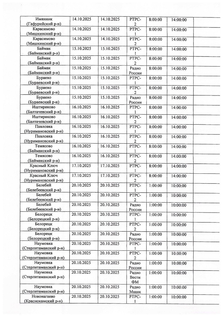
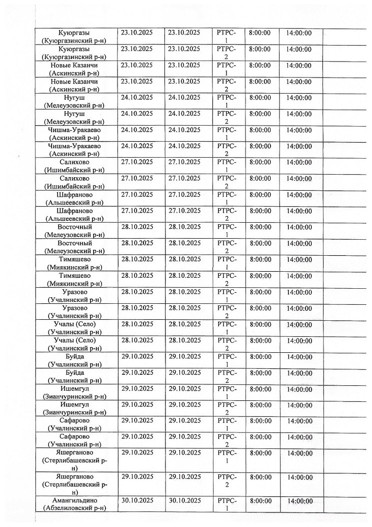
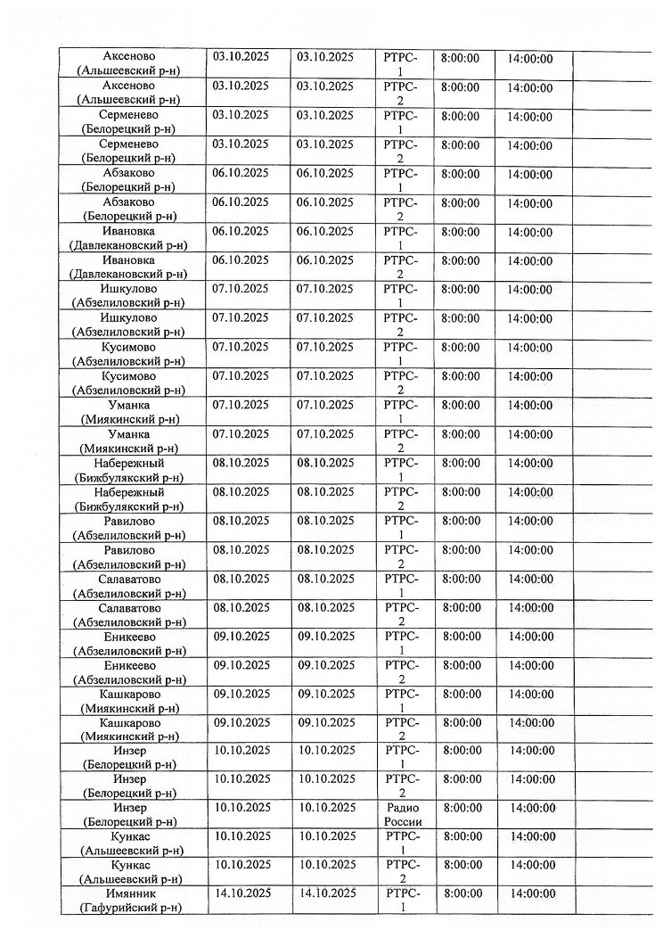
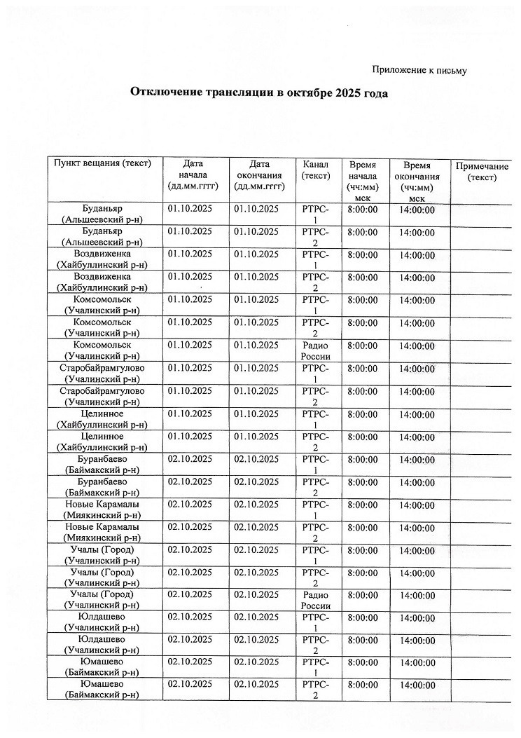
В Башкирии в городах и районах в октябре запланировано отключение теле- и радиовещания. Это связано с профилактическими работами. Об этом ообщает РТРС «РТПЦ РБ».
Перестанут работать РТРС-1, РТРС-2, «Радио России», «Маяк» и «Вести FM».
График отключений по районам и городам региона можно посмотреть на изображениях ниже.







